湖泊生态系统动力学团队
雁过留声
首页
 
     
     
    首页 >> 研究方向 >> 浅水湖泊光学特征及光动力学
 
 
 
 

四、浅水湖泊光学特征及光动力学

1. 太湖及中国东部地区太阳辐射分布及计算

  通过观测与计算,获取了太湖及中国东部地区太阳总辐射、紫外辐射、光合有效辐射、日照时数的变化特征及其时空分布;发现中国东部地区太阳总辐射、直接辐射明显下降趋势,而散射辐射只有微弱增加;提出了太阳总辐射的气候学计算公式: Q= Q0(0.1351+0.5707s1),探讨了太阳辐射变化特征及其原因,认为日照百分率的下降以及近二十年空气污染和气溶胶的胁迫是造成太阳总辐射和直接辐射下降的主要原因;建立了光合有效辐射的计算模型,完成了太湖地区辐射平衡的计算。

Multiple years variations of annual average daily total global radiation, direct radiation, diffuse radiation at stations Shanghai, Nanjing and Hangzhou (Global radiation: 1961 - 2000, direct and diffuse radiation at stations Shanghai and Hangzhou: 1961 - 1985; for Nanjing: 1961 - 1989)
Multiple years variations of annual average daily total global radiation, direct radiation, diffuse radiation at stations Shanghai, Nanjing and Hangzhou (Global radiation: 1961 - 2000, direct and diffuse radiation at stations Shanghai and Hangzhou: 1961 - 1985; for Nanjing: 1961 - 1989)
Multiple years variations of annual average daily total global radiation, direct radiation, diffuse radiation at stations Shanghai, Nanjing and Hangzhou (Global radiation: 1961 - 2000, direct and diffuse radiation at stations Shanghai and Hangzhou: 1961 - 1985; for Nanjing: 1961 - 1989)
Multiple years variations of annual average daily total global radiation, direct radiation, diffuse radiation at stations Shanghai, Nanjing and Hangzhou (Global radiation: 1961 - 2000, direct and diffuse radiation at stations Shanghai and Hangzhou: 1961 - 1985; for Nanjing: 1961 - 1989)
Multiple years variations of annual average daily total global radiation, direct radiation, diffuse radiation at stations Shanghai, Nanjing and Hangzhou (Global radiation: 1961 - 2000, direct and diffuse radiation at stations Shanghai and Hangzhou: 1961 - 1985; for Nanjing: 1961 - 1989)
Multiple years variations of annual average daily total global radiation, direct radiation, diffuse radiation at stations Shanghai, Nanjing and Hangzhou (Global radiation: 1961 - 2000, direct and diffuse radiation at stations Shanghai and Hangzhou: 1961 - 1985; for Nanjing: 1961 - 1989)
Multiple years variations of annual average daily total global radiation, direct radiation, diffuse radiation at stations Shanghai, Nanjing and Hangzhou (Global radiation: 1961 - 2000, direct and diffuse radiation at stations Shanghai and Hangzhou: 1961 - 1985; for Nanjing: 1961 - 1989)
Multiple years variations of annual average daily total global radiation, direct radiation, diffuse radiation at stations Shanghai, Nanjing and Hangzhou (Global radiation: 1961 - 2000, direct and diffuse radiation at stations Shanghai and Hangzhou: 1961 - 1985; for Nanjing: 1961 - 1989)
Multiple years variations of annual average daily total global radiation, direct radiation, diffuse radiation at stations Shanghai, Nanjing and Hangzhou (Global radiation: 1961 - 2000, direct and diffuse radiation at stations Shanghai and Hangzhou: 1961 - 1985; for Nanjing: 1961 - 1989)
Multiple years variations of annual average daily total global radiation, direct radiation, diffuse radiation at stations Shanghai, Nanjing and Hangzhou (Global radiation: 1961 - 2000, direct and diffuse radiation at stations Shanghai and Hangzhou: 1961 - 1985; for Nanjing: 1961 - 1989)
Fig.1. Multiple years variations of annual average daily total global radiation, direct radiation, diffuse radiation at stations Shanghai, Nanjing and Hangzhou (Global radiation: 1961 - 2000, direct and diffuse radiation at stations Shanghai and Hangzhou: 1961 - 1985; for Nanjing: 1961 - 1989).
    1). Zhang Y L, Qin B Q, Chen W M. Analysis of 40 year records of solar radiation data in Shanghai, Nanjing and Hangzhou in Eastern China. Theoretical and Applied Climatology, 2004, 78: 217-227.
    2). 张运林,秦伯强,陈伟民. 太湖无锡地区太阳总辐射的气候学计算及特征分析. 应用气象学报,2003, 14(3): 339-347

    2. 内陆水体生物光学特性及生态环境效益

      开展了内陆水体水下光场野外原位观测及室内模拟水动力条件下的水体光学特性观测与计算研究,发现了浅水湖泊水体紫、蓝光衰减最强烈,红、绿光衰减最弱,光谱的衰减在波长较长的红外段较波长较短的紫外段衰减慢,即所谓的红移特性;发现了影响水体透明度、衰减系数、真光层深度的主要是颗粒悬浮物而非浮游植物等有机颗粒物,真光层深度和透明度分布与沉水植被空间分布高度一致,这对于提高透明度、恢复水生植物具有非常重要的指导意义。野外和室内模拟实验研究发现了太湖水体初级生产力在春、夏季表面会出现光抑制现象,初级生产力主要贡献来自表层50cm,而且与悬浮物浓度及动力扰动强度有关,通过光动力学模型得到太湖初级生产力主要光动力学参数,建立由叶绿素a浓度计算初级生产力的经验模型。
    Spatial pattern of optically active substances and apparent optical properties in Lake Taihu (a): Tripton concentration (mg l-1); (b): Chla concentration (μ l-1); (c): CDOM absorption coefficient a(440) (m-1); (d): PAR diffuse attenuation coefficient (m-1); (e): PAR eupthotic depth (m); (f): transparency (cm)
    Spatial pattern of optically active substances and apparent optical properties in Lake Taihu (a): Tripton concentration (mg l-1); (b): Chla concentration (μ l-1); (c): CDOM absorption coefficient a(440) (m-1); (d): PAR diffuse attenuation coefficient (m-1); (e): PAR eupthotic depth (m); (f): transparency (cm)
    Spatial pattern of optically active substances and apparent optical properties in Lake Taihu (a): Tripton concentration (mg l-1); (b): Chla concentration (μ l-1); (c): CDOM absorption coefficient a(440) (m-1); (d): PAR diffuse attenuation coefficient (m-1); (e): PAR eupthotic depth (m); (f): transparency (cm)
    Spatial pattern of optically active substances and apparent optical properties in Lake Taihu (a): Tripton concentration (mg l-1); (b): Chla concentration (μ l-1); (c): CDOM absorption coefficient a(440) (m-1); (d): PAR diffuse attenuation coefficient (m-1); (e): PAR eupthotic depth (m); (f): transparency (cm)
    Spatial pattern of optically active substances and apparent optical properties in Lake Taihu (a): Tripton concentration (mg l-1); (b): Chla concentration (μ l-1); (c): CDOM absorption coefficient a(440) (m-1); (d): PAR diffuse attenuation coefficient (m-1); (e): PAR eupthotic depth (m); (f): transparency (cm)
    Spatial pattern of optically active substances and apparent optical properties in Lake Taihu (a): Tripton concentration (mg l-1); (b): Chla concentration (μ l-1); (c): CDOM absorption coefficient a(440) (m-1); (d): PAR diffuse attenuation coefficient (m-1); (e): PAR eupthotic depth (m); (f): transparency (cm)

    Fig. 2. Spatial pattern of optically active substances and apparent optical properties in Lake Taihu (a): Tripton concentration (mg l-1); (b): Chla concentration (μ l-1); (c): CDOM absorption coefficient a(440) (m-1); (d): PAR diffuse attenuation coefficient (m-1); (e): PAR eupthotic depth (m); (f): transparency (cm).

    The relative contributions of tripton (a), Chla (b), CDOM (c) and pure water (d) to Kd(PAR)
    Fig. 3. The relative contributions of tripton (a), Chla (b), CDOM (c) and pure water (d) to Kd(PAR)
    3). Zhang Y L, Qin B Q, Hu W P, et al. Spatial-temporal variations of euphotic depth and its ecological significance in Lake Taihu. Science in China: Series D Earth Sciences, 2006, 49(4): 431-442.
    4). Zhang Y L, Qin B Q, Zhu G W et al. Effect of sediment resuspension on underwater light field in shallow lakes in the middle and lower reaches of the Yangtze River: A case study in Longgan Lake and Taihu Lake. Science in China, Ser. D, 2006, 49(Supp I): 114-125.
    5). Zhang Y L, Chen W M. Variation in the underwater light field under simulated water current conditions in Lake Taihu, China. Journal of Freshwater Ecology, 2006, 21(2): 191-199.
    6). Zhang Y L, Zhang B, Ma R H et al. Optically active substances and their contributions to the underwater light climate in Lake Taihu, a large shallow lake in China. Archiv für Hydrobiologie, 2007, 170(1): 11-19.
    3. CDOM吸收荧光特性、生物地球化学循环及紫外辐射环境效应
      通过对太湖等长江中下游湖泊和云南高原湖泊中CDOM光吸收、荧光及紫外辐射衰减的测定,对比分析了各湖泊以及湖泊内CDOM吸收、荧光的时空分异规律,发现CDOM在400nm以下的紫光波段吸收强烈,降低了UV-B辐射在湖泊水体的穿透深度,减少UV-B辐射对湖泊生物的伤害,其在短波的吸收系数与水体DOC浓度、荧光强度存在显著相关,在云南高原湖泊CDOM的吸收能够很好解释UV-B辐射衰减,而在长江中下游湖泊非色素颗粒物对UV-B衰减贡献增加。基于野外观测和室内降解实验初步确定了河流输入和浮游植物降解对太湖水体CDOM的贡献,利用模拟人工UV-B灯及天然太阳辐射对CDOM照射获得光化学降解是表层水CDOM沉降和去除的关键过程。
    7). Zhang Y L, Qin B Q, Zhu G W, et al. Chromophoric dissolved organic matter (CDOM) absorption characteristics with relation to fluorescence in Lake Taihu, a large shallow subtropical lake. Hydrobiologia, 2007, 581: 43-52.
    8). Zhang Y L, Qin B Q. Variations in spectral slope in Lake Taihu, a large subtropical shallow lake in China. Journal of Great Lake Research, 2007, 33(2):483-496.
    9). Zhang Y L, Qin B Q, Chen W M, et al. A preliminary study of chromophoric dissolved organic matter (CDOM) in Lake Taihu. Acta Hydrochim. Hydrobiol., 2005, 33(4): 315-323.
    10). Zhang Y L, Zhang E L, Liu M L. Variation of chromophoric dissolved organic matter and possible attenuation depth of ultraviolet radiation in Yunnan Plateau lakes. Limnology, 2007, 8: 311-319.
    11). Zhang Y L, Liu M L, Qin B Q et al. Photochemical degradation of chromophoric dissolved organic matter exposed to simulated UV-B and natural solar radiation. Hydrobiologia, 2009, 627:159–168.
    The best single predictor of the measured Kd(λ) in the UV-B (320 nm), UV-A (360 nm), PAR (400-700 nm) in lakes the Yunnan Plateau (a-c) and the middle and lower reaches of the Yangtze River (d-e)

    Fig.4 The best single predictor of the measured Kd(λ) in the UV-B (320 nm), UV-A (360 nm), PAR (400-700 nm) in lakes the Yunnan Plateau (a-c) and the middle and lower reaches of the Yangtze River (d-e).

    The EEM contours of the six fluorescent components identified by PARAFAC.
    Fig. 5. The EEM contours of the six fluorescent components identified by PARAFAC.
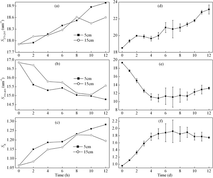
    Spectral slopes (S) and slope ratios (SR) in the CDOM degradation experiments (a)-(c): simulated UV-B radiation; (d)-(f): natural solar radiation. Bars = + standard deviation

    Fig. 6 Spectral slopes (S) and slope ratios (SR) in the CDOM degradation experiments (a)-(c): simulated UV-B radiation; (d)-(f): natural solar radiation. Bars = + standard deviation.

    4. 内陆水体水色组分遥感及初级生产力估算
      完成了非生物颗粒物、浮游藻类和有色可溶性有机物吸收系数、漫射衰减系数等固有光学参量的测定和分析,建立了一整套适合内陆水体的水体生物光学特性的测定方法,优化了浮游植物和非色素颗粒物最佳数值分离模型,获得各水色组分对总吸收及光衰减的贡献率,发展了基于水体固有光学特性的浮游植物色素、悬浮物和有色可溶性有机物的半分析反演模型,利用TM等遥感影像数据反演了太湖的悬浮物、叶绿素a和水温。通过太湖水体生物光学特性的测定,基于VGPM模型估算了太湖初级生产力,分析其时空分布及演化机理。
    Annual integrated PPeu for 1995 – 2003 (left), and monthly variation of annual PPeu from VGPM (right) in Meiliang Bay
    Fig. 7. Annual integrated PPeu for 1995 – 2003 (left), and monthly variation of annual PPeu from VGPM (right) in Meiliang Bay.
    Phytoplankton absorption spectra numerically partitioned using model 6, separated into three different ranges; aph(440) m-1 > 2.0 (A); 1.0 - 2.0 (B); < 1.0 (C); and samples with the ratio of Chla/TSM < 0.02% (D). The arrow indicates the abnormal phytoplankton absorption spectra graphed in Fig. 5D
    Fig. 8 Phytoplankton absorption spectra numerically partitioned using model 6, separated into three different ranges; aph(440) m-1 > 2.0 (A); 1.0 - 2.0 (B); < 1.0 (C); and samples with the ratio of Chla/TSM < 0.02% (D). The arrow indicates the abnormal phytoplankton absorption spectra graphed in Fig. 5D.
    Correlations between chlorophyll a to total suspended matter ratio (Chla/TSM), organic to total suspended matter ratio (OSM/TSM) and RRMSE
    Fig. 9 Correlations between chlorophyll a to total suspended matter ratio (Chla/TSM), organic to total suspended matter ratio (OSM/TSM) and RRMSE.
    Retrieval model of Chla concentration, and comparison of measured and estimated values using the three-band reflectance model (37.3% in the bracket is the percentage of RMSE accounting for the mean CChla)
    Fig. 10. Retrieval model of Chla concentration, and comparison of measured and estimated values using the three-band reflectance model (37.3% in the bracket is the percentage of RMSE accounting for the mean CChla).
    12). Zhang Y L, Qin B Q, Liu M L. Temporal-spatial variations of chlorophyll a and primary production in Meiliang Bay, Lake Taihu, China from 1995 to 2003. Journal of Plankton Research, 2007, 29(8): 707-719.
    13). Zhang Y L, Zhang B, Wang X, et al. V A study of absorption characteristics of chromophoric dissolved organic matter and particles in Lake Taihu, China. Hydrobiologia, 2007, 592: 105-120.
    14). Zhang Y L, Liu M L, van Dijk M A et al. Measured and numerically partitioned phytoplankton spectral absorption coefficient in inland waters. Journal of Plankton Research, 2009, 31(3): 311–323.
    15). Zhang Y L, Liu M L, Qin B Q et al. Modeling remote sensing reflectance and retrieving chlorophyll a concentration in extremely turbid Case 2 waters (Lake Taihu, China). IEEE Transactions on Geoscience and Remote Sensing, 2009, 47: 1937−1948.
     
                                                                            Top↑
     
    湖泊生态系统动力学
    (2009-2010) © 中科院南京地理与湖泊研究所动力学团队 版权所有 
    地址:南京市北京东路73号   邮编:210008   电话:025-86882192
    首页